新手必读:
各区成考:
快速导航关闭

加入上海成考网交流群

免费获取成考最新资讯和资料

+关注
报考指南
辅导资料
上海成人高考网 > 串讲笔记 > 专升本辅导 > 数学 > 详情
上海成人高考网 > 串讲笔记 > 专升本辅导 > 数学 > 2019年成人高考专升本高数试题练习及答案(6)

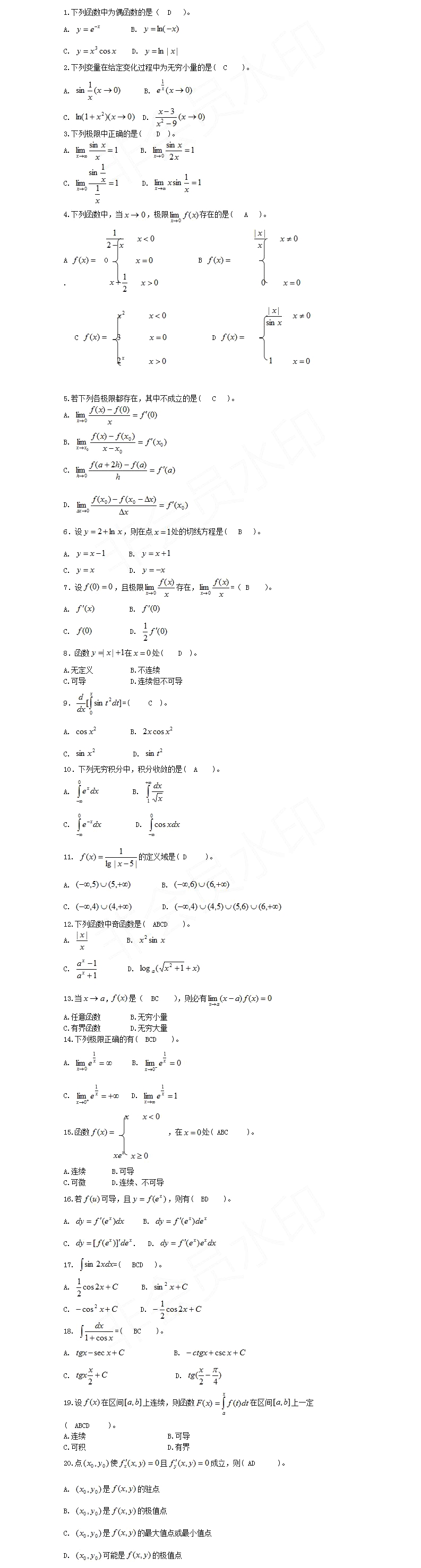
2019年成人高考专升本高数试题练习及答案(6)

上海成考网 上海成考 2019-12-02 13:56 交流群+

【摘要】【导语】高数是一个需要花大时间的科目,不仅仅是要将基础知识熟悉掌握,更多的是能将书本上所学知识运用到试卷当中。下文是 上海成考网 小编整理的2019年成人高考专升本高数试...

  【导语】高数是一个需要花大时间的科目,不仅仅是要将基础知识熟悉掌握,更多的是能将书本上所学知识运用到试卷当中。下文是上海成考网小编整理的2019年成人高考专升本高数试题练习及答案(6),各位同学可自行参考。
 

 

上海成考网微信公众号

转载请注明:文章转载自   上海成考网 www.shixue8.com
本文地址:http://www.shixue8.com/shuxue/1553.html

提示:系统将安排老师联系您,请保持手机畅通!

热门文章

上海成考网交流群

扫一扫加入微信交流群

与考生自由互动、并且能直接与资深老师进行交流、解答
上海成考网公众号

扫一扫加入微信公众号

关注上海成考网微信公众号,回复“福利”即可申请学费优惠
关于我们 在线报名 网站地图 联系我们

Copyright 2009-2022 上海成考网 www.shixue8.com All rights reserved

声明:本站为上海成考交流信息网站,敬请考生以权威部门公布的正式信息为准

考生在线咨询

上海成考网微信公众号 上海成考网微信公众号
返回顶部∧

在线咨询

考试科目

招生问答

考试提醒

考 生 群

毕业评估